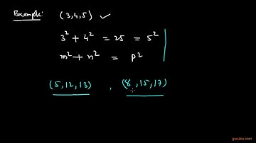
Secret Squares and Pythagorean Triplet Property #math #square #secret #mathsecret#pythagoreantriplet

Tonton & Download Video Musik Gratis

⬇ DOWNLOAD NOW
Jika muncul iklan pop-up, tutup lalu klik tombol kembali

Download lagu Secret Squares and Pythagorean Triplet Property #math #square #secret #mathsecret#pythagoreantriplet secara gratis hanya untuk keperluan promosi. Dukung artis favorit kamu dengan membeli musik original di iTunes atau platform resmi lainnya.