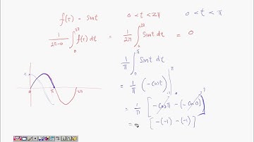
2555 Math I lecture 12 Ch 6 2 Constructing anti derivative analytically

Tonton & Download Video Musik Gratis

⬇ DOWNLOAD NOW
Jika muncul iklan pop-up, tutup lalu klik tombol kembali

Download lagu 2555 Math I lecture 12 Ch 6 2 Constructing anti derivative analytically secara gratis hanya untuk keperluan promosi. Dukung artis favorit kamu dengan membeli musik original di iTunes atau platform resmi lainnya.