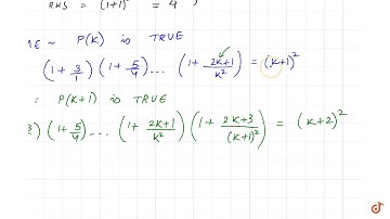
Prove the following by using the principle of mathematical induction for all `n in N` : `(1+1/1)...

Tonton & Download Video Musik Gratis

⬇ DOWNLOAD NOW
Jika muncul iklan pop-up, tutup lalu klik tombol kembali

Download lagu Prove the following by using the principle of mathematical induction for all `n in N` : `(1+1/1)... secara gratis hanya untuk keperluan promosi. Dukung artis favorit kamu dengan membeli musik original di iTunes atau platform resmi lainnya.