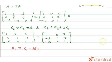
Using elementary transformations, find the inverse of the matrix `[[2 ,3], [5, 7]]`...

Tonton & Download Video Musik Gratis

⬇ DOWNLOAD NOW
Jika muncul iklan pop-up, tutup lalu klik tombol kembali

Download lagu Using elementary transformations, find the inverse of the matrix `[[2 ,3], [5, 7]]`... secara gratis hanya untuk keperluan promosi. Dukung artis favorit kamu dengan membeli musik original di iTunes atau platform resmi lainnya.