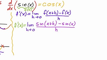
Calculus Derivatives of Trigonometric Functions Including Limits Concept MCV4U

Tonton & Download Video Musik Gratis

⬇ DOWNLOAD NOW
Jika muncul iklan pop-up, tutup lalu klik tombol kembali

Download lagu Calculus Derivatives of Trigonometric Functions Including Limits Concept MCV4U secara gratis hanya untuk keperluan promosi. Dukung artis favorit kamu dengan membeli musik original di iTunes atau platform resmi lainnya.