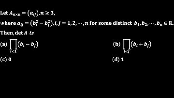
CSIR NET DEC-2012 ,TRACE PROBLEM- SKEW SYMMETRIC AND SYMMETRIC MATRIX

Tonton & Download Video Musik Gratis

⬇ DOWNLOAD NOW
Jika muncul iklan pop-up, tutup lalu klik tombol kembali

Download lagu CSIR NET DEC-2012 ,TRACE PROBLEM- SKEW SYMMETRIC AND SYMMETRIC MATRIX secara gratis hanya untuk keperluan promosi. Dukung artis favorit kamu dengan membeli musik original di iTunes atau platform resmi lainnya.