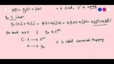
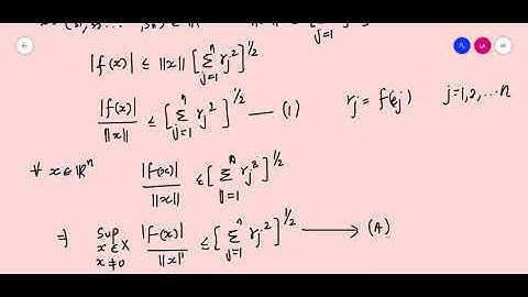
Functional Analysis Module II Class 17 The Dual Space X' its completeness and isomorphism

Tonton & Download Video Musik Gratis

⬇ DOWNLOAD NOW
Jika muncul iklan pop-up, tutup lalu klik tombol kembali

Download lagu Functional Analysis Module II Class 17 The Dual Space X' its completeness and isomorphism secara gratis hanya untuk keperluan promosi. Dukung artis favorit kamu dengan membeli musik original di iTunes atau platform resmi lainnya.