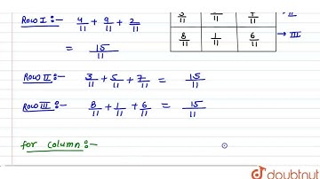
In a magic square the sum of numbers in each row in each column and across the diagonals is the

Tonton & Download Video Musik Gratis

⬇ DOWNLOAD NOW
Jika muncul iklan pop-up, tutup lalu klik tombol kembali

Download lagu In a magic square the sum of numbers in each row in each column and across the diagonals is the secara gratis hanya untuk keperluan promosi. Dukung artis favorit kamu dengan membeli musik original di iTunes atau platform resmi lainnya.