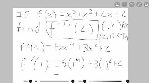
2024 Maths Extension 1 HSC Q14b Find k such that f(x)=kx/(1+x²)+arctan(x) has an inverse function

Tonton & Download Video Musik Gratis

⬇ DOWNLOAD NOW
Jika muncul iklan pop-up, tutup lalu klik tombol kembali

Download lagu 2024 Maths Extension 1 HSC Q14b Find k such that f(x)=kx/(1+x²)+arctan(x) has an inverse function secara gratis hanya untuk keperluan promosi. Dukung artis favorit kamu dengan membeli musik original di iTunes atau platform resmi lainnya.