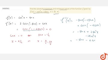
Find the absolute maximum and minimum values of the function f given by f(x) = cos²x + sinx

Tonton & Download Video Musik Gratis

⬇ DOWNLOAD NOW
Jika muncul iklan pop-up, tutup lalu klik tombol kembali

Download lagu Find the absolute maximum and minimum values of the function f given by f(x) = cos²x + sinx secara gratis hanya untuk keperluan promosi. Dukung artis favorit kamu dengan membeli musik original di iTunes atau platform resmi lainnya.