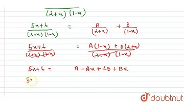
5x+6 / (2+x)(1–x) ; resolve into partial fractions @EAG

Tonton & Download Video Musik Gratis

⬇ DOWNLOAD NOW
Jika muncul iklan pop-up, tutup lalu klik tombol kembali

Download lagu 5x+6 / (2+x)(1–x) ; resolve into partial fractions @EAG secara gratis hanya untuk keperluan promosi. Dukung artis favorit kamu dengan membeli musik original di iTunes atau platform resmi lainnya.