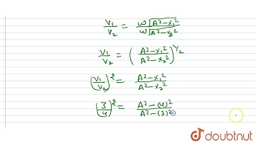
A body executing linear simple harmonic motion has a velocity of 3ms when its displacement is 4cm a

Tonton & Download Video Musik Gratis

⬇ DOWNLOAD NOW
Jika muncul iklan pop-up, tutup lalu klik tombol kembali

Download lagu A body executing linear simple harmonic motion has a velocity of 3ms when its displacement is 4cm a secara gratis hanya untuk keperluan promosi. Dukung artis favorit kamu dengan membeli musik original di iTunes atau platform resmi lainnya.