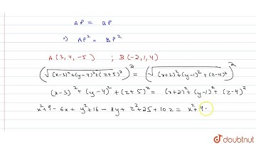
Find the equation of the set of pointssuch that its distances from the points A(3,4,-5) and B(-2,...

Tonton & Download Video Musik Gratis

⬇ DOWNLOAD NOW
Jika muncul iklan pop-up, tutup lalu klik tombol kembali

Download lagu Find the equation of the set of pointssuch that its distances from the points A(3,4,-5) and B(-2,... secara gratis hanya untuk keperluan promosi. Dukung artis favorit kamu dengan membeli musik original di iTunes atau platform resmi lainnya.