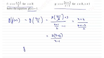
Chapter2- Composite functions-Exercise 2B(18)-a Find ff(x) and state the

Tonton & Download Video Musik Gratis

⬇ DOWNLOAD NOW
Jika muncul iklan pop-up, tutup lalu klik tombol kembali

Download lagu Chapter2- Composite functions-Exercise 2B(18)-a Find ff(x) and state the secara gratis hanya untuk keperluan promosi. Dukung artis favorit kamu dengan membeli musik original di iTunes atau platform resmi lainnya.