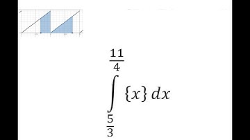
Evaluate `int_(0)^(2){x} d x `, where `{x}` denotes the fractional part of x.

Tonton & Download Video Musik Gratis

⬇ DOWNLOAD NOW
Jika muncul iklan pop-up, tutup lalu klik tombol kembali

Download lagu Evaluate `int_(0)^(2){x} d x `, where `{x}` denotes the fractional part of x. secara gratis hanya untuk keperluan promosi. Dukung artis favorit kamu dengan membeli musik original di iTunes atau platform resmi lainnya.