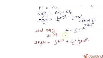
Figure shows a loop the loop track of radius R. A car (without engine) starts from a platform at a d

Tonton & Download Video Musik Gratis

⬇ DOWNLOAD NOW
Jika muncul iklan pop-up, tutup lalu klik tombol kembali

Download lagu Figure shows a loop the loop track of radius R. A car (without engine) starts from a platform at a d secara gratis hanya untuk keperluan promosi. Dukung artis favorit kamu dengan membeli musik original di iTunes atau platform resmi lainnya.