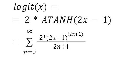
ATANH Taylor Maclaurin SERIESSUM LINEST POLYNOMIAL REGRESSION Google Sheets or Excel

Tonton & Download Video Musik Gratis

⬇ DOWNLOAD NOW
Jika muncul iklan pop-up, tutup lalu klik tombol kembali

Download lagu ATANH Taylor Maclaurin SERIESSUM LINEST POLYNOMIAL REGRESSION Google Sheets or Excel secara gratis hanya untuk keperluan promosi. Dukung artis favorit kamu dengan membeli musik original di iTunes atau platform resmi lainnya.