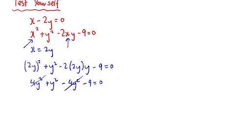
Core 1 - Simultaneous Equations (1) - Two Linear, One Linear, One Non Linear

Tonton & Download Video Musik Gratis

⬇ DOWNLOAD NOW
Jika muncul iklan pop-up, tutup lalu klik tombol kembali

Download lagu Core 1 - Simultaneous Equations (1) - Two Linear, One Linear, One Non Linear secara gratis hanya untuk keperluan promosi. Dukung artis favorit kamu dengan membeli musik original di iTunes atau platform resmi lainnya.