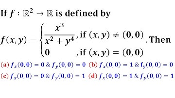
partial derivative function of several variables IIT Jam 2012 calculus mathematics

Tonton & Download Video Musik Gratis

⬇ DOWNLOAD NOW
Jika muncul iklan pop-up, tutup lalu klik tombol kembali

Download lagu partial derivative function of several variables IIT Jam 2012 calculus mathematics secara gratis hanya untuk keperluan promosi. Dukung artis favorit kamu dengan membeli musik original di iTunes atau platform resmi lainnya.