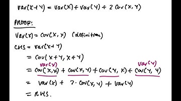
Proof (Variance of the sum or difference of the two random variables.) var(x+y)=v(x)+v(y)+2cov(x,y)

Tonton & Download Video Musik Gratis

⬇ DOWNLOAD NOW
Jika muncul iklan pop-up, tutup lalu klik tombol kembali

Download lagu Proof (Variance of the sum or difference of the two random variables.) var(x+y)=v(x)+v(y)+2cov(x,y) secara gratis hanya untuk keperluan promosi. Dukung artis favorit kamu dengan membeli musik original di iTunes atau platform resmi lainnya.