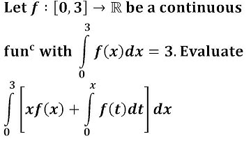
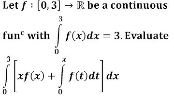
IIT JAM 2007 Mathematics solutions section A Question 1| Integral Calculus | Area under the curve

Tonton & Download Video Musik Gratis

⬇ DOWNLOAD NOW
Jika muncul iklan pop-up, tutup lalu klik tombol kembali

Download lagu IIT JAM 2007 Mathematics solutions section A Question 1| Integral Calculus | Area under the curve secara gratis hanya untuk keperluan promosi. Dukung artis favorit kamu dengan membeli musik original di iTunes atau platform resmi lainnya.