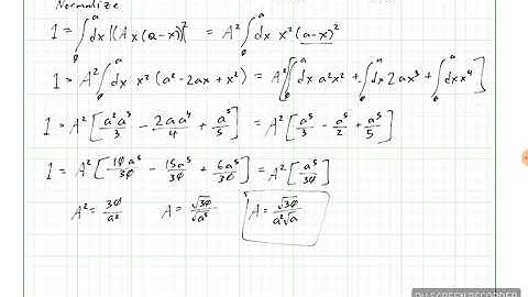
Problem 2.8 | Introduction to Quantum Mechanics (Griffiths)

Tonton & Download Video Musik Gratis

⬇ DOWNLOAD NOW
Jika muncul iklan pop-up, tutup lalu klik tombol kembali

Download lagu Problem 2.8 | Introduction to Quantum Mechanics (Griffiths) secara gratis hanya untuk keperluan promosi. Dukung artis favorit kamu dengan membeli musik original di iTunes atau platform resmi lainnya.