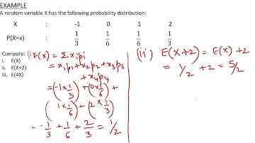
Expectation of Random Variable || Probability || 5th Semester || Panjab University || KUK,HPU

Tonton & Download Video Musik Gratis

⬇ DOWNLOAD NOW
Jika muncul iklan pop-up, tutup lalu klik tombol kembali

Download lagu Expectation of Random Variable || Probability || 5th Semester || Panjab University || KUK,HPU secara gratis hanya untuk keperluan promosi. Dukung artis favorit kamu dengan membeli musik original di iTunes atau platform resmi lainnya.