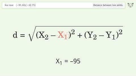
Find the distance between two points p1 (-1,16) and p2 (75,-43): Step-by-Step Video Solution

Tonton & Download Video Musik Gratis

⬇ DOWNLOAD NOW
Jika muncul iklan pop-up, tutup lalu klik tombol kembali

Download lagu Find the distance between two points p1 (-1,16) and p2 (75,-43): Step-by-Step Video Solution secara gratis hanya untuk keperluan promosi. Dukung artis favorit kamu dengan membeli musik original di iTunes atau platform resmi lainnya.