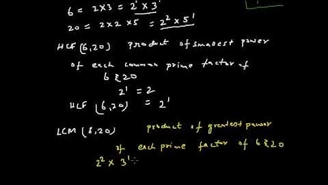
Section 1.5, part 9 (Primes and The Fundamental Theorem of Arithmetic)

Tonton & Download Video Musik Gratis

⬇ DOWNLOAD NOW
Jika muncul iklan pop-up, tutup lalu klik tombol kembali

Download lagu Section 1.5, part 9 (Primes and The Fundamental Theorem of Arithmetic) secara gratis hanya untuk keperluan promosi. Dukung artis favorit kamu dengan membeli musik original di iTunes atau platform resmi lainnya.