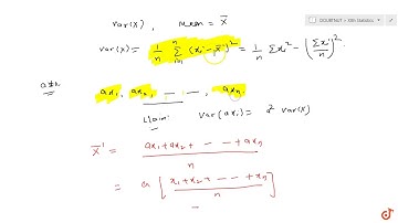
JEE MAINS 2018 Let `x_1, x_2, x_3, ,` be `n` values of a variable X. If these values are change...

Tonton & Download Video Musik Gratis

⬇ DOWNLOAD NOW
Jika muncul iklan pop-up, tutup lalu klik tombol kembali

Download lagu JEE MAINS 2018 Let `x_1, x_2, x_3, ,` be `n` values of a variable X. If these values are change... secara gratis hanya untuk keperluan promosi. Dukung artis favorit kamu dengan membeli musik original di iTunes atau platform resmi lainnya.