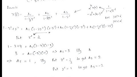
Lecture-22: Rational function in z transform [Inverse z transform using partial Fraction Method]

Tonton & Download Video Musik Gratis

⬇ DOWNLOAD NOW
Jika muncul iklan pop-up, tutup lalu klik tombol kembali

Download lagu Lecture-22: Rational function in z transform [Inverse z transform using partial Fraction Method] secara gratis hanya untuk keperluan promosi. Dukung artis favorit kamu dengan membeli musik original di iTunes atau platform resmi lainnya.