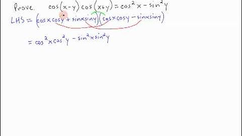
PreCalculus - Trigonometry: Trig Identities (19 of 57) Proof Using Addition & Subtraction Formulas

Tonton & Download Video Musik Gratis

⬇ DOWNLOAD NOW
Jika muncul iklan pop-up, tutup lalu klik tombol kembali

Download lagu PreCalculus - Trigonometry: Trig Identities (19 of 57) Proof Using Addition & Subtraction Formulas secara gratis hanya untuk keperluan promosi. Dukung artis favorit kamu dengan membeli musik original di iTunes atau platform resmi lainnya.