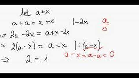
Can Division By Zero Prove 1 Equals 2? - Learn To Troubleshoot

Tonton & Download Video Musik Gratis

⬇ DOWNLOAD NOW
Jika muncul iklan pop-up, tutup lalu klik tombol kembali

Download lagu Can Division By Zero Prove 1 Equals 2? - Learn To Troubleshoot secara gratis hanya untuk keperluan promosi. Dukung artis favorit kamu dengan membeli musik original di iTunes atau platform resmi lainnya.