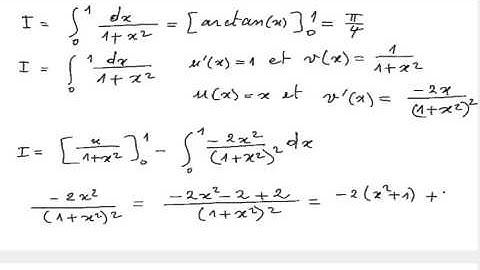
Terminales:11- Intégration (exercice) : intégrer une fonction continue et positive

Tonton & Download Video Musik Gratis

⬇ DOWNLOAD NOW
Jika muncul iklan pop-up, tutup lalu klik tombol kembali

Download lagu Terminales:11- Intégration (exercice) : intégrer une fonction continue et positive secara gratis hanya untuk keperluan promosi. Dukung artis favorit kamu dengan membeli musik original di iTunes atau platform resmi lainnya.