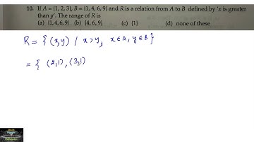
4 If A= {1,2,3} B= {1,4,6,9} and R is a relationfrom A to B defined by x is greater than y class 11

Tonton & Download Video Musik Gratis

⬇ DOWNLOAD NOW
Jika muncul iklan pop-up, tutup lalu klik tombol kembali

Download lagu 4 If A= {1,2,3} B= {1,4,6,9} and R is a relationfrom A to B defined by x is greater than y class 11 secara gratis hanya untuk keperluan promosi. Dukung artis favorit kamu dengan membeli musik original di iTunes atau platform resmi lainnya.