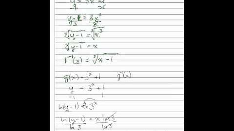
PC: 1.6 Notes: Example 9 - Finding the Inverse Algebraically

Tonton & Download Video Musik Gratis

⬇ DOWNLOAD NOW
Jika muncul iklan pop-up, tutup lalu klik tombol kembali

Download lagu PC: 1.6 Notes: Example 9 - Finding the Inverse Algebraically secara gratis hanya untuk keperluan promosi. Dukung artis favorit kamu dengan membeli musik original di iTunes atau platform resmi lainnya.