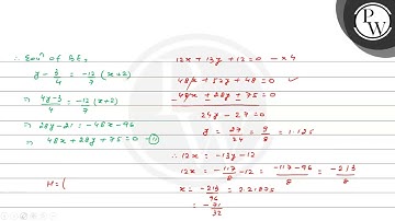
A triangle \( A B C \) with vertices \( A(-1,0), B(-2,3 / 4) \), an...

Tonton & Download Video Musik Gratis

⬇ DOWNLOAD NOW
Jika muncul iklan pop-up, tutup lalu klik tombol kembali

Download lagu A triangle \( A B C \) with vertices \( A(-1,0), B(-2,3 / 4) \), an... secara gratis hanya untuk keperluan promosi. Dukung artis favorit kamu dengan membeli musik original di iTunes atau platform resmi lainnya.