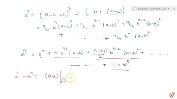
If and b are distinct integers, prove that `a - b` is a factor of `a^n-b^n` , whenever n is a po...

Tonton & Download Video Musik Gratis

⬇ DOWNLOAD NOW
Jika muncul iklan pop-up, tutup lalu klik tombol kembali

Download lagu If and b are distinct integers, prove that `a - b` is a factor of `a^n-b^n` , whenever n is a po... secara gratis hanya untuk keperluan promosi. Dukung artis favorit kamu dengan membeli musik original di iTunes atau platform resmi lainnya.