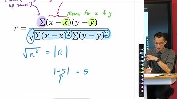
LLO 10.2 Calculated parametric Pearson correlation test Part 2 of 3

Tonton & Download Video Musik Gratis

⬇ DOWNLOAD NOW
Jika muncul iklan pop-up, tutup lalu klik tombol kembali

Download lagu LLO 10.2 Calculated parametric Pearson correlation test Part 2 of 3 secara gratis hanya untuk keperluan promosi. Dukung artis favorit kamu dengan membeli musik original di iTunes atau platform resmi lainnya.