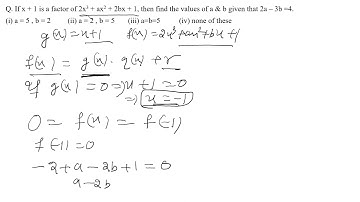
If x+1 is a factor of 2x^3+ax^2+2bx+1, then find the values of a and b ...|| Class 10 rd sharma Q.49

Tonton & Download Video Musik Gratis

⬇ DOWNLOAD NOW
Jika muncul iklan pop-up, tutup lalu klik tombol kembali

Download lagu If x+1 is a factor of 2x^3+ax^2+2bx+1, then find the values of a and b ...|| Class 10 rd sharma Q.49 secara gratis hanya untuk keperluan promosi. Dukung artis favorit kamu dengan membeli musik original di iTunes atau platform resmi lainnya.