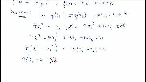
Let f:N→R be a function defined as f(x)=4x²+12x+15 Show that f:N→Range of f is invertible

Tonton & Download Video Musik Gratis

⬇ DOWNLOAD NOW
Jika muncul iklan pop-up, tutup lalu klik tombol kembali

Download lagu Let f:N→R be a function defined as f(x)=4x²+12x+15 Show that f:N→Range of f is invertible secara gratis hanya untuk keperluan promosi. Dukung artis favorit kamu dengan membeli musik original di iTunes atau platform resmi lainnya.