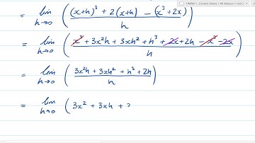
Calculus- CALCULATING FIRST PRINCIPLE GIVEN CUBIC EQUATION

Tonton & Download Video Musik Gratis

⬇ DOWNLOAD NOW
Jika muncul iklan pop-up, tutup lalu klik tombol kembali

Download lagu Calculus- CALCULATING FIRST PRINCIPLE GIVEN CUBIC EQUATION secara gratis hanya untuk keperluan promosi. Dukung artis favorit kamu dengan membeli musik original di iTunes atau platform resmi lainnya.