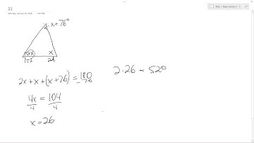
In triangle ABC, angle B is twice as large as angle A. Angle C measures 20o more than angle A. Find…

Tonton & Download Video Musik Gratis

⬇ DOWNLOAD NOW
Jika muncul iklan pop-up, tutup lalu klik tombol kembali

Download lagu In triangle ABC, angle B is twice as large as angle A. Angle C measures 20o more than angle A. Find… secara gratis hanya untuk keperluan promosi. Dukung artis favorit kamu dengan membeli musik original di iTunes atau platform resmi lainnya.