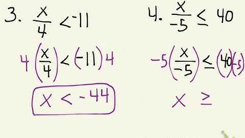
Algebra I 5 2 Solving Inequality Equations Using Multiplication and Division

Tonton & Download Video Musik Gratis

⬇ DOWNLOAD NOW
Jika muncul iklan pop-up, tutup lalu klik tombol kembali

Download lagu Algebra I 5 2 Solving Inequality Equations Using Multiplication and Division secara gratis hanya untuk keperluan promosi. Dukung artis favorit kamu dengan membeli musik original di iTunes atau platform resmi lainnya.