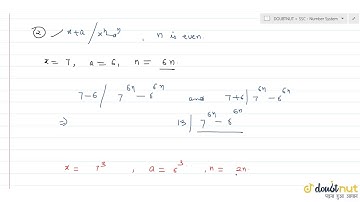
7^6n - 6^6n, where n is an integer greater than 0, is divisible by

Tonton & Download Video Musik Gratis

⬇ DOWNLOAD NOW
Jika muncul iklan pop-up, tutup lalu klik tombol kembali

Download lagu 7^6n - 6^6n, where n is an integer greater than 0, is divisible by secara gratis hanya untuk keperluan promosi. Dukung artis favorit kamu dengan membeli musik original di iTunes atau platform resmi lainnya.