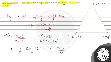
Find equations of the medians of triangle ABC whose vertices are A (2, 5), B (-4, 9) and C (-2,-1).

Tonton & Download Video Musik Gratis

⬇ DOWNLOAD NOW
Jika muncul iklan pop-up, tutup lalu klik tombol kembali

Download lagu Find equations of the medians of triangle ABC whose vertices are A (2, 5), B (-4, 9) and C (-2,-1). secara gratis hanya untuk keperluan promosi. Dukung artis favorit kamu dengan membeli musik original di iTunes atau platform resmi lainnya.