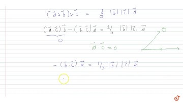
If ` vec a , vec b, vec c` are three non- null vectors such that any two of them are non-col...

Tonton & Download Video Musik Gratis

⬇ DOWNLOAD NOW
Jika muncul iklan pop-up, tutup lalu klik tombol kembali

Download lagu If ` vec a , vec b, vec c` are three non- null vectors such that any two of them are non-col... secara gratis hanya untuk keperluan promosi. Dukung artis favorit kamu dengan membeli musik original di iTunes atau platform resmi lainnya.