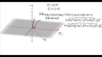
Angle Between Vectors (Computational Fundamentals of Machine Learning)_Lecture16

Tonton & Download Video Musik Gratis

⬇ DOWNLOAD NOW
Jika muncul iklan pop-up, tutup lalu klik tombol kembali

Download lagu Angle Between Vectors (Computational Fundamentals of Machine Learning)_Lecture16 secara gratis hanya untuk keperluan promosi. Dukung artis favorit kamu dengan membeli musik original di iTunes atau platform resmi lainnya.