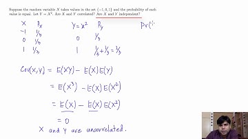
Correlation Coefficient || Theorem || Two Uncorrelated r.v.'s is not belongs to Independent

Tonton & Download Video Musik Gratis

⬇ DOWNLOAD NOW
Jika muncul iklan pop-up, tutup lalu klik tombol kembali

Download lagu Correlation Coefficient || Theorem || Two Uncorrelated r.v.'s is not belongs to Independent secara gratis hanya untuk keperluan promosi. Dukung artis favorit kamu dengan membeli musik original di iTunes atau platform resmi lainnya.