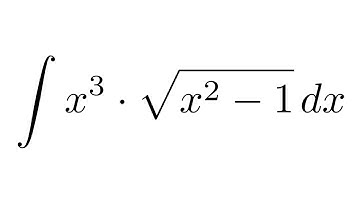
How to integrate x^3/sqrt(x^2-1), integration by substitution, indefinite integral, Calculus

Tonton & Download Video Musik Gratis

⬇ DOWNLOAD NOW
Jika muncul iklan pop-up, tutup lalu klik tombol kembali

Download lagu How to integrate x^3/sqrt(x^2-1), integration by substitution, indefinite integral, Calculus secara gratis hanya untuk keperluan promosi. Dukung artis favorit kamu dengan membeli musik original di iTunes atau platform resmi lainnya.