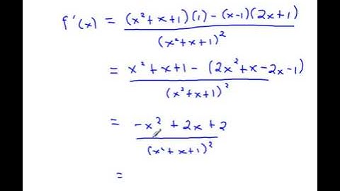
fsc part 2||derivatives|| solved example on quotient rule using quotient formula.

Tonton & Download Video Musik Gratis

⬇ DOWNLOAD NOW
Jika muncul iklan pop-up, tutup lalu klik tombol kembali

Download lagu fsc part 2||derivatives|| solved example on quotient rule using quotient formula. secara gratis hanya untuk keperluan promosi. Dukung artis favorit kamu dengan membeli musik original di iTunes atau platform resmi lainnya.