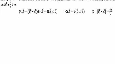
If a , b , c are unite vectors such that a.B=a.c=0 and angle between b and c is pi/6. Prove a=…

Tonton & Download Video Musik Gratis

⬇ DOWNLOAD NOW
Jika muncul iklan pop-up, tutup lalu klik tombol kembali

Download lagu If a , b , c are unite vectors such that a.B=a.c=0 and angle between b and c is pi/6. Prove a=… secara gratis hanya untuk keperluan promosi. Dukung artis favorit kamu dengan membeli musik original di iTunes atau platform resmi lainnya.