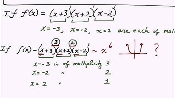
Zero of Multiplicity m for a Function f(x): Definition, Example, Graphical Intuition, Theorems

Tonton & Download Video Musik Gratis

⬇ DOWNLOAD NOW
Jika muncul iklan pop-up, tutup lalu klik tombol kembali

Download lagu Zero of Multiplicity m for a Function f(x): Definition, Example, Graphical Intuition, Theorems secara gratis hanya untuk keperluan promosi. Dukung artis favorit kamu dengan membeli musik original di iTunes atau platform resmi lainnya.