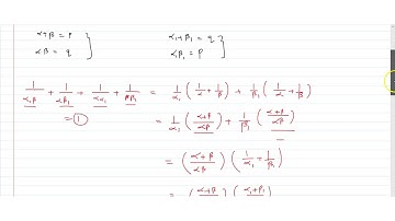
If `alpha,beta` are roots of the equation `x^2 - px + q = 0`, then find the value of `(i) alph

Tonton & Download Video Musik Gratis

⬇ DOWNLOAD NOW
Jika muncul iklan pop-up, tutup lalu klik tombol kembali

Download lagu If `alpha,beta` are roots of the equation `x^2 - px + q = 0`, then find the value of `(i) alph secara gratis hanya untuk keperluan promosi. Dukung artis favorit kamu dengan membeli musik original di iTunes atau platform resmi lainnya.